IHMC Public Cmaps (3)

        Users (create your own folder...)
            University of Jyväskylä
                Konenäkö
                Konenäkö -- ESR opetusvideot

                    3dgrid.png
                    3D kuvanmuodostus.cmap
                    3D kuvanmuodostus, luentovideo.url
                    567.pdf
                    active_contour_ls.png
                    Back projection animation.url
                    bigtopic.cmss
                    BioImageXD.url
                    Bittikarttakuva, luentovideo.url
                    bxd_tracking.png
                    Canny, Luentovideo.url
                    Cannyn menetelmä.cmap
                    Confocal.png
                    Ct-internals.png
                    CutRenderTransparent.png
                    Default.cmss
                    dekonvol_integ.png
                    dekonvol_talin.png
                    ESR verkkotyopaja.cmap
                    Fast gaussian blur.url
                    fluoresenssimikroskopia.cmap
                    Fuoresenssimikroskopia, luentovideo.url
                    Heading.cmss
                    Horn & Schunk.url
                    Hyvä selitys aiheesta.url
                    image.jpg
                    Image.cmss
                    Image Processing Fundamentals.url
                    Image Processing Learning Resources.url
                    kalvotKynnys.pdf
                    KN järjestelmän osat.cmap
                    Koko tarina.url
                    Konenäkojärjestelmän osat, luentovideo.url
                    Konveksin rungon laskeminen.url
                    Konvoluutio.cmap
                    Konvoluution idea animaationa.url
                    Konvoluutio wikipediassa.url
                    Kuva.cmap
                    kuvapyramidit.cmap
                    kynnystys.cmap
                    Kynnystys, luentovideo 1.url
                    Kynnystys, luentovideo 2.url
                    labelimage.png
                    Lassi.cmap
                    Lectures on Image Processing.url
                    lenna.cmap
                    Liikkuvan kuvan analyysi, luentovideo.url
                    Lista konenäkökursseista maailmalla.url
                    Lucas & Kanade.url
                    Matemaattinen morfologia -- wikipedia.url
                    matemaattiset.pdf
                    morfologia.cmap
                    Morfologia, luentovideo 1.url
                    Morfologia - Luentovideo 2.url
                    Morfologia - Luentovideo 3.url
                    optical_flow.jpg
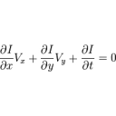
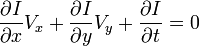
                    optical_yhtalo.png
                    optinenvuo_realimage.png
                    Person.cmss
                    Pisteittäinen operaatio, luentovideo.url
                    pisteittäiset operaatiot.cmap
                    PSF.url
                    PSF_green_xyz.png
                    pyramidit, luentovideo 2.url
                    pyramidit, luentovideo 3.url
                    pyramidit, luentovideo 4.url
                    pyramidit luentovideo 1.url
                    ReduceEq.png
                    Retinex menetelmän esimerkkejä.url
                    segmentedimage.png
                    segmentointi.cmap
                    Segmentointi, luentovideo 1.url
                    Segmentointi, luentovideo 2.url
                    Sobel, Luentovideo.url
                    sobelin operaattori.cmap
                    Sobel -- wikipedia.url
                    Survey over image thresholding techniques and quantitative performance evaluation.url
                    texkalvot.pdf
                    tomografia.cmap
                    Tomografia.url
                    Tomografia, luentovideo.url
                    Topic.cmss
                    tracking.cmap
                    ville-intro.pdf
                    ws_3d.png
                    ws_level10.png
                    ws_level3.png
                    ws_smooth.png
                    www.lenna.org.url